微信联系 微信联系
228316951
4008075595
TOP
新闻中心

新闻中心

新闻中心
模拟滤波器和数字滤波器图文对比
浏览次数:(3220)次 / 责任编辑:chenaijun / 更新时间:2015-05-04 09:08:08
分享:

滤波器的实现方法可以分为两大类:

1)利用电阻、电容、运算放大器等模拟器件搭建滤波器对模拟信号进行滤波,这种滤波器就是模拟滤波器。

下图所示是一个由电阻和电容构成的无源低通滤波器:

下图所示是一个由电阻、电容、运算放大器构成的有源低通滤波器:

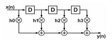
2)利用运行在数字信号处理器(DSP)、计耳机中的程序或FPGA中的逻辑对数字信号进行滤波,这种滤波器就是数字滤波器。

下图所示就是一种数字滤波器的工作原理框图:

关键字:模拟滤波器  数字滤波器  
电话:4008075595 地址 :深圳市龙华区观澜大富路硅谷动力低碳产业园A5栋4楼
网站地图



  • 网站地图