• 微信联系 微信联系
    228316951
    4008075595
    TOP
    新闻中心

    新闻中心

    新闻中心
    无线移动通信信号传输模型的几个分类简析
    浏览次数:(4353)次 / 责任编辑:云顶集团 / 更新时间:2021-10-29 17:33:38
    分享:

    1. 概述

    在移动通信网的规划阶段和网络优化期间,最重要的传播问题是路径损耗,它代表大尺度传播特性,具有幂定律的传播特征。路径损耗是移动通信系统规划设计的一个重要依据,对蜂窝设计中的覆盖范围、信噪比、远近效应都有影响。因此,在移动通信网络最初规划阶段,或今后的扩容、网络优化期间需要进行路径损耗预测。无线传播模型正是用来预测不同传播环境下的路径损耗,从而更好的建设当地的无线通信网络。

    无线移动通信信号传输模型的几个分类简析

    从基站发出的无线电信号不仅存在大气层中传播遇到的路径损耗,而且还受到地面传播路径损耗的影响,而地面传播损耗受地面地形地物的影响很大。移动台天线高度较低,一般非常接近地平面,这是产生这一附加传播损耗的原因之—。一般来说,地面的质地和粗糙度往往导致能量耗散,减小移动台和基站的接收信号强度。这种类型的损耗和自由空间损耗相结合,共同构成了传播路径损耗。

    移动无线电信号还受到各种各样的多径现象的影响——它们能引起严重的信号衰落,这些影响源于移动无线电通信媒介。移动无线电信号衰落包括长时限衰落和短时限衰落,这是统计上的分类。长时限衰落一般由沿传播路径上地形地物的较小规模变化引起。短时限衰落一般由各种信号散射体固定的和运动的)的反射引起。这类衰落称为“多径”衰落。

    对在这样复杂环境中传播信号的变化进行精确特征描述,是一项非常艰巨的任务。下面介绍的各种模型,就是通过大量的实测数据,或者精确的电磁理论计算,预测了无线信号的变化。


    2. 传播模型的分类

    在移动通信网络设计中,一个主要的任务是在满足移动用户所需的话务容量条件下,使网络达到满意的质量覆盖率、话音质量、掉话率和接通率等。其中很大一部分和接收信号的质量有关,而接收信号的质量主要由发射和接收之间的传播条件决定。在分析移动通信的无线电波传播过程中,传播路径损耗是人们关心的主要参数之一,我们可以用无线传播模型分析方法来预测无线电波的传播路径损耗。

    根据无线传播模型的性质,可以分为下面几类:

    (1). 经验模型
    (2). 半经验或半确定性模型
    (3). 确定性模型

    经验模型是根据大量的测试结果统计分析后导出的公式。用经验模型预测路径损耗的方法很简单,不需要相关环境的精确信息,但是不能提供非常精确的路径损耗估算值。

    确定性模型是对具体的现场环境直接应用电磁理论计算的方法,环境的描述从地形地物数据库中得到,在环境描述中可以找到不同的精度等级。在确定性模型中,已使用的几种技术通常基于射线跟踪的方法:几何绕射理论、物理光学,以及不经常用的精确方法,如积分方程法或时域有限差分法。在市区、山区和室内环境情况中,确定性的无线传播预测是一种极其复杂的电磁问题。

    半经验或半确定性模型是基于把确定性方法用于一般的市区或室内环境中导出的等式。有时候,为了改善它们和实验结果的一致性,则根据实验结果对等式进行修正,得到的等式是天线周围地区某个规定特性的函数。


    由于移动通信的所在环境的多样性,每个传播模型都是对某特定类型环境设计的。因此,可以根据传播模型的应用环境对它们进行分类。通常考虑三类环境小区:宏小区宏蜂窝、微小区或微蜂窝、微微小区或微微蜂窝。

    (1). 宏小区

    宏小区是面积很大的区域,覆盖半径约1~30km,基站发射天线通常架设在周围建筑物上方。通常,在收发之间没有直达射线。

    (2). 微小区

    微小区的覆盖半径在0.1~1km之间,覆盖面积不一定是圆的。发射天线的高度可以和周围建筑物的高度相同或者略高于或低于。通常,根据收发天线和环境障碍物的相对位置分成两类情况:LOS视距情况和NLOS非视距情况。

    (3). 微微小区

    微微小区的典型半径是在0.01~0.1km之间。微微小区可以分为两类:室内和室外。发射天线在屋顶下面或者在建筑物内。无论在室内还是在室外情况中,通常要分别考虑LOS和NLOS这两种情况。

    一般,三种类型模型和三种小区类型之间有相互适应的关系。如经验模型和半经验模型对具有均匀特性的宏小区是适合的,半经验公式还适用于均匀的微小区,模型所考虑的参数能很好地表征整个环境。确定性模型适用于微小区和微微小区,不管它们的形状如何,但对宏小区是不能适用的,因为这种环境所需的CPU时间使这些技术效率变得低下。

    2.1 宏小区传播模型

    2.1.1 Okumura-Hata模型

    Okumura-Hata模型是Hata在Okumura大量测试数据的基础上用公式拟合得到的。由于使用Okumura模型,需要查找其给出的各种曲线,不利于计算机预测。Hata根据Okumura的基本中值场强预测曲线,通过曲线拟合,提出了传播损耗的经验公式,即Okumura-Hata模型。

    这个模型时作了下列三点假设,以求简化:

    (1).作为两个全向天线之间的传播损耗处理;
    (2).作为准平滑地形而不是不规则地形处理;
    (3).以城市市区的传播损耗公式作为标准,其他地区采用校正公式进行修正。

    适用条件:

    (1).f 为150~1500MHz;
    (2).基站天线有效高度hb 为30~200米;
    (3).移动台天线高度hm 为1~10米;
    (4).通信距离为1~35km;

    传播损耗公式如下:

    公式说明:

    d 的单位为km;

    f 的单位为MHz;

    Lb 城 为城市市区的基本传播损耗中值;

    hb 、hm ——基站、移动台天线有效高度,单位为米;

    基站天线有效高度计算:设基站天线离地面的高度为hs ,基站地面的海拔高度为hg ,移动台天线离地面的高度为hm ,移动台所在位置的地面海拔高度为hmg ,则基站天线的有效高度hb=hs+hg-hmg ,移动台天线的有效高度为hm 。

    注:基站天线有效高度计算有多种方法,如基站周围5~10公里的范围内的地面海拔高度的平均;基站周围5~10公里的范围内的地面海拔高度的地形拟合线;等等;不同的计算方法一方面与所使用的传播模型有关,另外也与计算精度要求有关。

    移动台天线高度修正因子:

    远距离传播修正因子:

    2.1.2 COST-231-Hata模型

    COST-231-Hata模型也是以Okumura等人的测试结果为依据,通过对较高频段的Okumura传播曲线进行分析得到的公式。

    适用条件:

    (1).f 为1500~2000MHz;
    (2).基站天线有效高度hb 为30~200米;
    (3).移动台天线高度hm 为1~10米;
    (4).通信距离为1~35km。

    传播损耗公式:

    公式说明:

    d 的单位为km,f的单位为MHz;
    Lb城 为城市市区的基本传播损耗中值;
    hb 、hm ——基站、移动台天线有效高度,单位为米;

    基站天线有效高度计算:设基站天线离地面的高度为hs ,基站地面的海拔高度为hg ,移动台天线离地面的高度为hm ,移动台所在位置的地面海拔高度为hmg 。则基站天线的有效高度hb=hs+hg-hmg ,移动台天线的有效高度为hm 。

    移动台天线高度修正因子:

    远距离传播修正因子:

    2.2 微小区传播模型

    2.2.1 双射线模型

    双射线传播模型在计算接收处的场时只考虑直达射线和地面反射射线的贡献。对平坦的农村环境是可以胜任的,而且它也适合于具有低基站天线的微蜂窝小区,因为收发天线之间有LOS路径。在这种情况中,若建筑物的墙对电波也发生反射和绕射的话,它们将在简单的双射线模型中导致场强幅度的快速变化,但是并不改变由双射线预测的整个路径损耗幂定律指数n 的值。

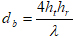
    双射线模式给出的路径损耗被写成为收发之间的距离d的函数,并且可以用两个不同斜率n1 和n2 的直线段近似。两线段之间的突变点也称为拐点出现在离发射端的距离为:

    式中hr 和ht 分别是收发天线的高度。

    路径损耗可以用下式表示:

    这个近似式称为双斜率模型。对于理论上的双射线地面反射模型,n1 和n2 的值分别是2和4。在市区微蜂窝小区1800~1900MHz测量结果表明n1 的值在2.0~2.3之间,n2 的值在3.3~13.3之间。Lb 是在突变点处的路径损耗:

    2.2.2 多射线模型

    多射线模型已被用在LOS情况下的市区微蜂窝小区中,当收发天线比屋顶平面低得多时。这些模型假设所谓的街道为“介质峡谷”结构也成为波导结构,接收端的场,来自收发之间的直达射线、沿地面的反射射线、以及峡谷的垂直平面建筑物墙反射的射线。双射线模型可以被看作为只考虑两条射线的多射线模型。四射线和六射线模型已被提出:四射线模型由直达射线、地面反射射线和两条被建筑物墙壁反射一次的射线相加得到;六射线模型和四射线模型机理相同,再加上两条被建筑物反射两次的射线。

    2.2.3 多缝隙波导模型

    当多射线模型用到市区环境时,通常假设街道的建筑物是连续排列的,建筑物之间没有间隙。Blaunstein和Levin提出了一个多缝隙波导结构模型,考虑了建筑物墙的实际介质特性、实际分布的街道宽度以及从马路上的反射如图1所示。这个模型假设城市结构是由两排平行的具有随机分布缝隙建筑物之间的缺口所形成,考虑了直达场,建筑物墙的多次反射,墙角拐角处多次绕射理论以及地面的反射。

    图1. 多缝隙波导模型

    2.3 室内传播模型

    实验研究指出,在建筑物内对于有障碍物的传播路径NLOS将经历瑞利衰落,对于视距路径LOS经历莱斯衰落,与建筑物类型无关。莱斯衰落是强的视距LOS路径加上许多弱反射的地面路径联合引起的。建筑物的材料、建筑物边的纵横比和窗户的类型已表明对楼层间的射频衰减有影响。测量已经指出,楼层间的损耗并不随分隔距离的增加按分贝线性增加。楼层之间衰减的典型值对于第一层分隔是15dB,然后每层分隔再附加6~10dB,最多分到4层分隔。对于5层或更多层的分隔,每个附加层的路径损耗增加只有几分贝。

    对于用室外基站覆盖室内的系统,实验研究已经表明建筑物内部接收到的信号强度随楼层高度而增加。在建筑物的较低层,由于都市群的原因有较大的衰减,使穿透进入建筑物的信号电平很小。在较高楼层,若存在视距路径的话,就会产生较强的直射到建筑物外墙处的信号。信号的穿透损耗是频率和建筑物内部高度的函数。穿透损耗随频率的增加而增大。测量表明,有窗户的穿透损耗比没有窗户的建筑物少6dB。

    2.3.1 对数距离路径损耗模型

    平均路径损耗是距离的n 次幂的函数,如下:

    式中L50(d ) 是平均路径损耗dB,d 是收发之间的距离m,L (d0 ) 是发射点到参考距离d0 的路径损耗,d0 是参考距离m,n 是取决于环境的平均路径损耗指数。参考路径损耗可以通过测试或利用自由空间路径损耗表示式计算得到。

    从上式发现路径损耗是对数正态分布的。平均路径损耗指数n 和标准差σ 是取决于建筑物类型、建筑物侧面以及发射机和接收机之间楼层数的参数。在收发间隔距离d 米处的路径损耗可以给出:

    L(d )=L50 (d)+Xσ(dB)

    这是一个经验模型,式中Xσ 是具有标准差σ(dB)的零均值对数正态分布随机变量,代表环境地物的影响。

    2.3.2 衰减因子模型

    前面的公式也可以用下式来替代:

    式中,n1 是位于同一楼层上的路径损耗指数,它取决于建筑物的类型,其典型值是2.8;FAF 是楼层衰减因子,它是楼层数和建筑物类型的函数。

    3.传播模型在蜂窝设计中的应用

    在无线蜂窝设计中,为了预测基站的覆盖半径或接收机的接收功率功率链路预算,可用如下公式:

    Pr =Pt +Gt +Gr -Lt -Lr -Lbf

    式中,Pr 和Pt 分别是接收功率和发射功率,单位是dBm;Gr 和Gt 分别是收发天线的增益,单位是dB;Lr 和Lt 分别是上下行链路的馈线损耗,单位是dB;Lbf 是传播路径损耗,单位是dB。其中Lbf 可以通过前面介绍的模型进行预测。

    为了提高预测精度和减少无线网络规划工程师的工作量,更多的是采用计算机程序来预测传播损耗和所覆盖的区域。路径损耗的预测,和基站周围的地形、地物、距离密切相关,因此我们可以把地形、地物等信息存储在电子地图中,计算机在运算时可以随时调用这些信息。图2是某地的电子地图,图中不同颜色表示的是不同的地物。

    图2. 某地的电子地图

    输入电子地图、基站信息,并选择一个合适的模型,就可以通过软件把离基站不同距离地方的接收功率等信息计算出来,并且显示在屏幕上。图3就是通过软件对某城市的覆盖进行了预测。图中不同颜色代表预测得到的不同接收功率,如图中绿色代表该区域接收机的接收功率在- 65dBm ~- 75dBm之间。

    图3. 某城市的覆盖图前向接收功率

    也可以通过软件对反向的覆盖进行预测,如图4所示:

    图4. 某城市的覆盖图手机反向接收功率


    <特此声明:本文转载自微波射频网,文章作者:Altair Tang,文章源标题:无线移动通信信号传输模型简介>


    关键字:无线移动通信  信号传输  
    电话:4008075595 地址 :深圳市龙华区观澜大富路硅谷动力低碳产业园A5栋4楼
    网站地图



  • 网站地图